Home Science Nouveau pulsar jeune et très dispersé découvert avec ASKAP

Nouveau pulsar jeune et très dispersé découvert avec ASKAP

by News Team
0 comment


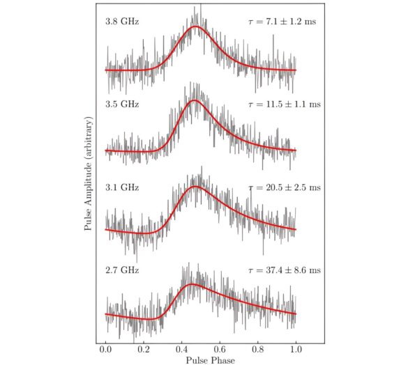
Profils d'impulsions normalisés créés à partir de la somme des données Parkes UWL du PSR J1032−5804 en fonction de la fréquence d'observation. Crédit: arXiv (2023). DOI : 10.48550/arxiv.2311.14880

À l’aide de l’Australian Square Kilometer Array Pathfinder (ASKAP), les astronomes ont découvert un nouveau pulsar, qui a reçu la désignation PSR J1032−5804. Le nouveau pulsar s’est avéré relativement jeune et très dispersé. La découverte a été rapportée dans un article publié le 25 novembre sur le serveur de pré-impression. arXiv.

Les pulsars sont des étoiles à neutrons en rotation dotées de champs magnétiques intenses, émettant un faisceau de rayonnement électromagnétique. Ils sont généralement identifiés sous la forme de courtes rafales d'émission radio ; cependant, certains d'entre eux sont également observés à l'aide de télescopes optiques, à rayons X et gamma.

Certains pulsars radio sont diffusés lorsque les impulsions radio de ces objets traversent le milieu interstellaire turbulent et que la propagation sur plusieurs trajets provoque une diffusion temporelle et spatiale. En général, les pulsars très dispersés sont difficiles à détecter pour la majorité des levés astronomiques.

Aujourd'hui, une équipe d'astronomes dirigée par Ziteng Wang de l'Université Curtin en Australie rapporte la détection d'un pulsar aussi hautement dispersé. Le PSR J1032−5804 a été identifié dans l'enquête ASKAP sur les variables et les transitoires lents (VAST) lors d'une recherche de sources à polarisation circulaire. Des observations de suivi utilisant le radiotélescope Parkes de 64 m et le Murchison Widefield Array (MWA) ont confirmé sa nature de pulsar.

Le pulsar nouvellement découvert est jeune puisqu’il a un âge caractéristique de 34 600 ans. Il a une longue échelle de temps de diffusion à 1 GHz, d'environ 3,84 secondes, ce qui en fait le troisième pulsar le plus diffusé connu à ce jour. Cela explique pourquoi le PSR J1032−5804 n'a pas été détecté par les précédents relevés de pulsars.

Selon l'étude, le PSR J1032−5804 a une période de 78,7 millisecondes, une mesure de dispersion d'environ 819 pc/cm3et mesure de rotation d'environ -2 000 rad/m2. Le pulsar a une intensité de champ magnétique de surface d'environ 1,7 TG et une luminosité descendante de 2,9 undécillions d'erg/s.

Les observations ASKAP indiquent que le PSR J1032−5804 est une source potentielle de GPS (spectre à pointe gigahertz) et qu'il peut héberger une nébuleuse du vent pulsar (PWN) et un reste de supernova (SNR) dans son environnement local. Cependant, des études supplémentaires sont nécessaires pour le confirmer.

Résumant les résultats, les auteurs de l'article ont noté que la découverte du PSR J1032−5804 est prometteuse dans le contexte des futures découvertes de pulsars hautement dispersés.

“Nous pouvons identifier des pulsars plus fortement dispersés comme le PSR J1032−5804 grâce aux données de haute sensibilité et de bonne résolution des enquêtes ASKAP en cours. À l'avenir, avec la construction de radiotélescopes de nouvelle génération tels que le Square Kilometer Array, le Deep Synoptic Array et le Very Large Array de nouvelle génération, les recherches dans le domaine d'imagerie deviendront un outil plus puissant pour découvrir des pulsars extrêmes (par exemple, hautement accélérés, hautement dispersés et hautement intermittents) qui sont difficiles à trouver via les enquêtes traditionnelles”, ont conclu les chercheurs.

Plus d'information:
Ziteng Wang et al, Découverte d'un jeune pulsar PSR J1032-5804 très dispersé avec le SKA Pathfinder australien, arXiv (2023). DOI : 10.48550/arxiv.2311.14880

Informations sur la revue :
arXiv

© 2023 Réseau Science X

Citation: Nouveau pulsar jeune et très dispersé découvert avec ASKAP (4 décembre 2023) récupéré le 4 décembre 2023 sur

Ce document est soumis au droit d'auteur. En dehors de toute utilisation équitable à des fins d'étude ou de recherche privée, aucune partie ne peut être reproduite sans autorisation écrite. Le contenu est fourni seulement pour information.



You may also like

Leave a Comment

Our Company

Rivedin Provides news from the source.

Newsletter

Laest News

@2021 – All Right Reserved. Designed and Developed by RIVEDIN

Are you sure want to unlock this post?
Unlock left : 0
Are you sure want to cancel subscription?
-
00:00
00:00
Update Required Flash plugin
-
00:00
00:00